Problem C: 神经网络
Memory Limit:128 MB
Time Limit:1.000 S
Judge Style:Text Compare
Creator:
Submit:13
Solved:3
Description
人工神经网络(Artificial Neural Network)是一种新兴的具有自我学习能力的计算系统,在模式识别、函数逼近及贷款风险评估等诸多领域有广泛的应用。
对神经网络的研究一直是当今的热门方向,兰兰同学在自学了一本神经网络的入门书籍后,提出了一个简化模型,他希望你能帮助他用程序检验这个神经网络模型的实用性。
在兰兰的模型中,神经网络就是一张有向图,图中的节点称为神经元,而且两个神经元之间至多有一条边相连,下图是一个神经元的例子:
神经元(编号为 i)
图中,X1∼X3 是信息输入渠道,Y1∼Y2 是信息输出渠道,Ci 表示神经元目前的状态,Ui 是阈值,可视为神经元的一个内在参数。
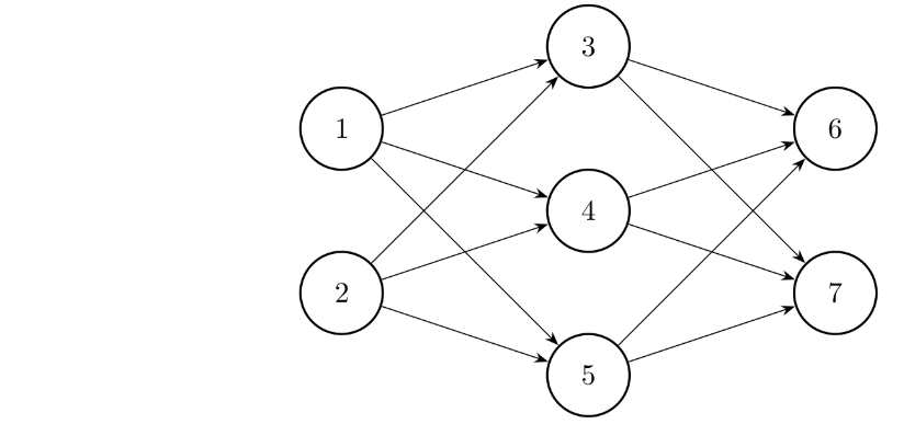
神经元按一定的顺序排列,构成整个神经网络。在兰兰的模型之中,神经网络中的神经元分为几层;称为输入层、输出层,和若干个中间层。
每层神经元只向下一层的神经元输出信息,只从上一层神经元接受信息。下图是一个简单的三层神经网络的例子。

兰兰规定,Ci 服从公式:(其中 n 是网络中所有神经元的数目)
Ci=(ji)∈E∑WjiCj−Ui
公式中的 Wji(可能为负值)表示连接 j 号神经元和 i 号神经元的边的权值。当 Ci 大于 0 时,该神经元处于兴奋状态,否则就处于平静状态。
当神经元处于兴奋状态时,下一秒它会向其他神经元传送信号,信号的强度为 Ci。如此.在输入层神经元被激发之后,整个网络系统就在信息传输的推动下进行运作。
现在,给定一个神经网络,及当前输入层神经元的状态(Ci),要求你的程序运算出最后网络输出层的状态。
Input
输入第一行是两个整数 n(1≤n≤100)和 p。接下来 n 行,每行 2 个整数,第 i+1 行是神经元 i 最初状态和其阈值(Ui),非输入层的神经元开始时状态必然为 0。再下面 p 行,每行有两个整数 i,j 及一个整数 Wij,表示连接神经元 i,j 的边权值为 Wij。
Output
输出包含若干行,每行有 2 个整数,分别对应一个神经元的编号,及其最后的状态,2 个整数间以空格分隔。仅输出最后状态大于 0 的输出层神经元状态,并且按照编号由小到大顺序输出。
Sample Input Copy
5 6
1 0
1 0
0 1
0 1
0 1
1 3 1
1 4 1
1 5 1
2 3 1
2 4 1
2 5 1
Sample Output Copy
3 1
4 1
5 1